সকল সরকারি চাকরির তথ্য সবার আগে মোবাইলে নোটিফিকেশন পেতে ডাউনলোড করুন
Android App: Jobs Exam Alert

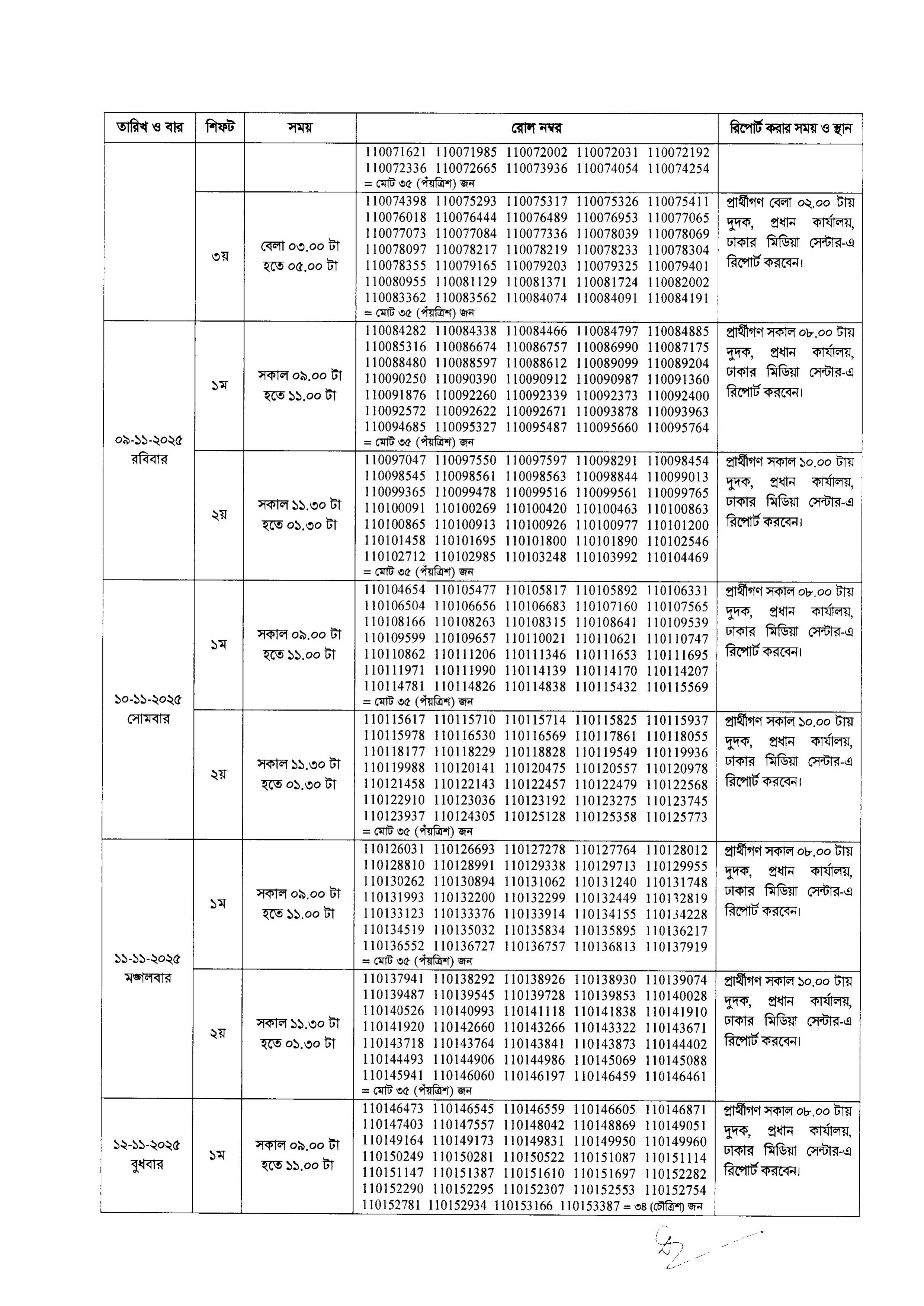
দুর্নীতি দমন কমিশনের কনস্টেবল পদের শারীরিক যোগ্যতা যাচাই ও মৌখিক পরীক্ষার সময়সূচী প্রকাশিত হয়েছে। নির্বাচিত প্রার্থীদের পরীক্ষা ০৫ নভেম্বর ২০২৫ থেকে ১২ নভেম্বর ২০২৫ তারিখ পর্যন্ত (বুধবার থেকে বুধবার) দুর্নীতি দমন কমিশন, প্রধান কার্যালয়, ১ সেগুনবাগিচা, ঢাকায় অনুষ্ঠিত হবে।

প্রার্থীদের পরীক্ষা বিভিন্ন তারিখ ও শিফটে অনুষ্ঠিত হবে এবং সেই অনুযায়ী সকাল ০৮.০০টা, সকাল ০৯.০০টা, সকাল ১০.০০টা অথবা বেলা ০২.০০টায় দুদক, প্রধান কার্যালয়, ঢাকার মিডিয়া সেন্টার-এ রিপোর্ট করতে হবে।

শারীরিক যোগ্যতা যাচাইয়ে উত্তীর্ণ প্রার্থীদের একই দিনে মৌখিক পরীক্ষা গ্রহণ করা হবে। প্রার্থীদের মোবাইলে এসএমএসের মাধ্যমে পরীক্ষার তারিখ, সময় ও স্থান জানানো হবে এবং নতুন করে কোনো প্রবেশপত্র ইস্যু করা হবে না।

মৌখিক পরীক্ষার সময় আবেদনকারীকে নিম্নলিখিত মূলকপিসহ সকল কাগজপত্রের একটি সেট দাখিল করতে হবে:

  • শিক্ষাগত যোগ্যতার সকল সনদপত্র
  • নাগরিকত্ব সনদপত্র
  • প্রথম শ্রেণির গেজেটেড সরকারি কর্মকর্তা কর্তৃক প্রদত্ত চারিত্রিক সনদপত্র
  • জাতীয় পরিচয়পত্র/জন্ম নিবন্ধনপত্র
  • চাকরিরতদের ক্ষেত্রে মন্ত্রণালয়/বিভাগ/অধিদপ্তর/সংস্থার অনাপত্তি পত্র
  • পাসপোর্ট সাইজের সত্যায়িত ২ কপি রঙিন ছবি
  • প্রবেশপত্র ও আবেদনপত্রের কপি

পরীক্ষা সংক্রান্ত যেকোনো তথ্যের জন্য জনাব মোঃ আনোয়ার হোসেন, উপপরিচালক (মানবসম্পদ), মোবাইল নম্বর ০১৭২৩-২২৩৬৭৮-এ যোগাযোগ করা যাবে।

বিস্তারিত নিচের বিজ্ঞপ্তিতে দেখুনঃ