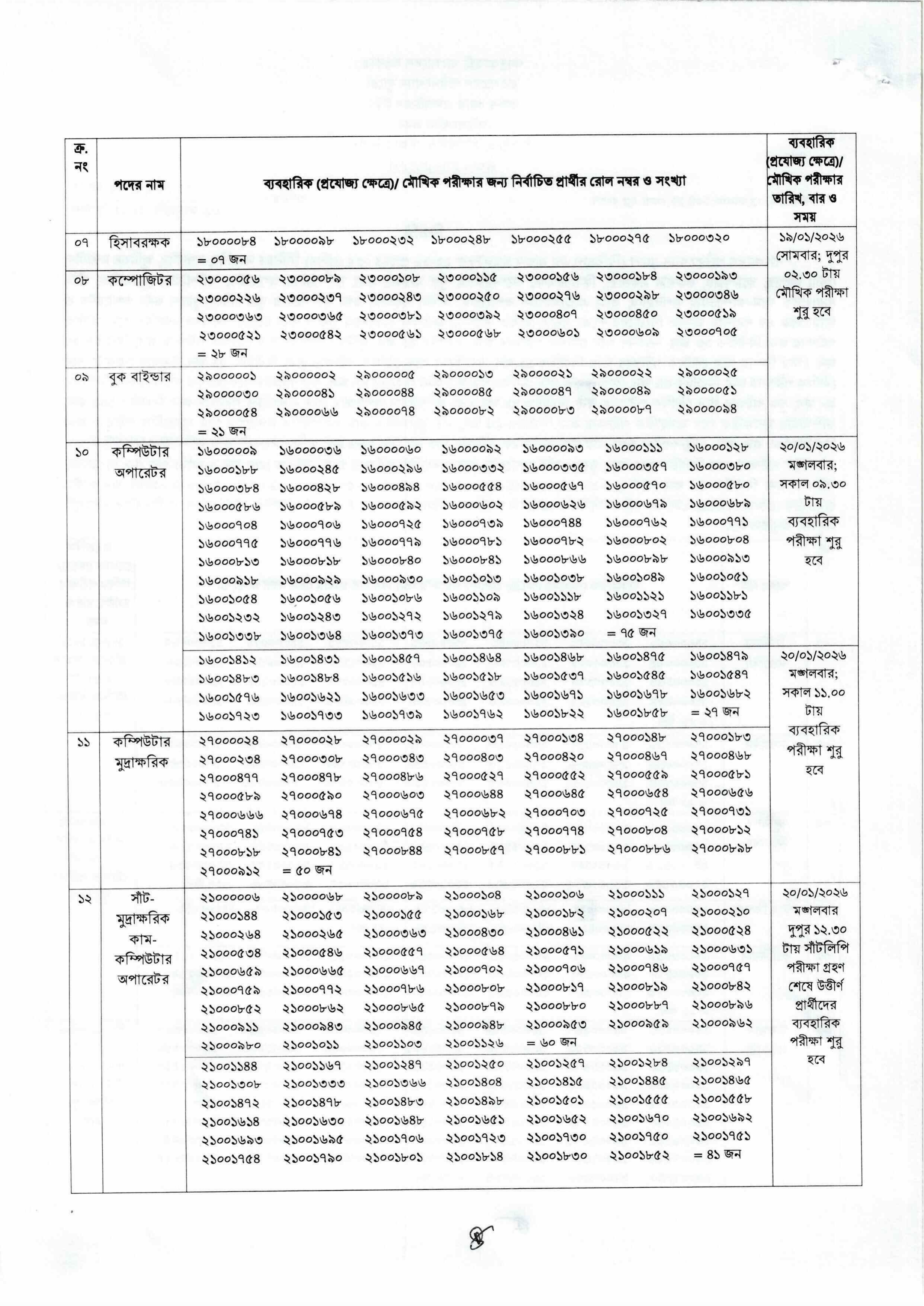
বাংলাদেশ পরিসংখ্যান ব্যুরো (বিবিএস) এর রাজস্ব বাজেটভুক্ত ১৬টি ক্যাটাগরির বিভিন্ন পদের লিখিত পরীক্ষার ফলাফল এবং পরবর্তী ধাপের ব্যবহারিক ও মৌখিক পরীক্ষার সময়সূচি প্রকাশিত হয়েছে।

নির্বাচিত পদের নাম ও প্রার্থীর সংখ্যা: সিনিয়র নক্সাবিদ, নক্সাবিদ, জুনিয়র নক্সাবিদ, স্টোর কিপার, ক্যাশিয়ার, উচ্চমান সহকারী, হিসাবরক্ষক, কম্পোজিটর, বুক বাইন্ডার, কম্পিউটার অপারেটর, কম্পিউটার মুদ্রাক্ষরিক, সাঁট-মুদ্রাক্ষরিক কাম-কম্পিউটার অপারেটর, ডাটা এন্ট্রি/কন্ট্রোল অপারেটর, অফিস সহকারী কাম কম্পিউটার মুদ্রাক্ষরিক, ডুয়েল ডাটা অপারেটর ও গাড়িচালক পদে মোট ১১০১ জন প্রার্থীকে ব্যবহারিক ও মৌখিক পরীক্ষার জন্য নির্বাচিত করা হয়েছে।

পরীক্ষার তারিখ ও সময়: পদভেদে পরীক্ষা আগামী ১৮ জানুয়ারি ২০২৬ তারিখ হতে ২৭ জানুয়ারি ২০২৬ তারিখ পর্যন্ত নির্ধারিত সময়সূচি অনুযায়ী অনুষ্ঠিত হবে।

পরীক্ষার স্থান: বিবিএস এর প্রধান কার্যালয় (পরিসংখ্যান ভবন, ই-২৭/এ আগারগাঁও, ঢাকা-১২০৭)।

মৌখিক পরীক্ষার জন্য প্রয়োজনীয় কাগজপত্র:
১. লিখিত পরীক্ষার প্রবেশপত্রের মূলকপি।
২. সকল শিক্ষাগত যোগ্যতার মূল সনদ।
৩. নাগরিকত্ব সনদ ও জাতীয় পরিচয়পত্রের মূলকপি।
৪. কোটার স্বপক্ষে প্রয়োজনীয় প্রমাণপত্রের মূলকপি (প্রযোজ্য ক্ষেত্রে)।
৫. ২ কপি সত্যায়িত রঙিন পাসপোর্ট সাইজের ছবি এবং সকল সনদের এক সেট সত্যায়িত ফটোকপি।

বিশেষ নির্দেশনা: শুধুমাত্র ব্যবহারিক পরীক্ষায় উত্তীর্ণ প্রার্থীরাই পরবর্তী মৌখিক পরীক্ষায় অংশগ্রহণের সুযোগ পাবেন।

বিস্তারিত নিচের বিজ্ঞপ্তিতে দেখুনঃ

বাংলাদেশ পরিসংখ্যান ব্যুরোর ব্যবহারিক ও মৌখিক পরীক্ষার সময়সূচি প্রকাশ

বাংলাদেশ পরিসংখ্যান ব্যুরোর ব্যবহারিক ও মৌখিক পরীক্ষার সময়সূচি প্রকাশ

বাংলাদেশ পরিসংখ্যান ব্যুরোর ব্যবহারিক ও মৌখিক পরীক্ষার সময়সূচি প্রকাশ

বাংলাদেশ পরিসংখ্যান ব্যুরোর ব্যবহারিক ও মৌখিক পরীক্ষার সময়সূচি প্রকাশ

বাংলাদেশ পরিসংখ্যান ব্যুরোর ব্যবহারিক ও মৌখিক পরীক্ষার সময়সূচি প্রকাশ