সকল সরকারি চাকরির তথ্য সবার আগে মোবাইলে নোটিফিকেশন পেতে ডাউনলোড করুন
Android App: Jobs Exam Alert

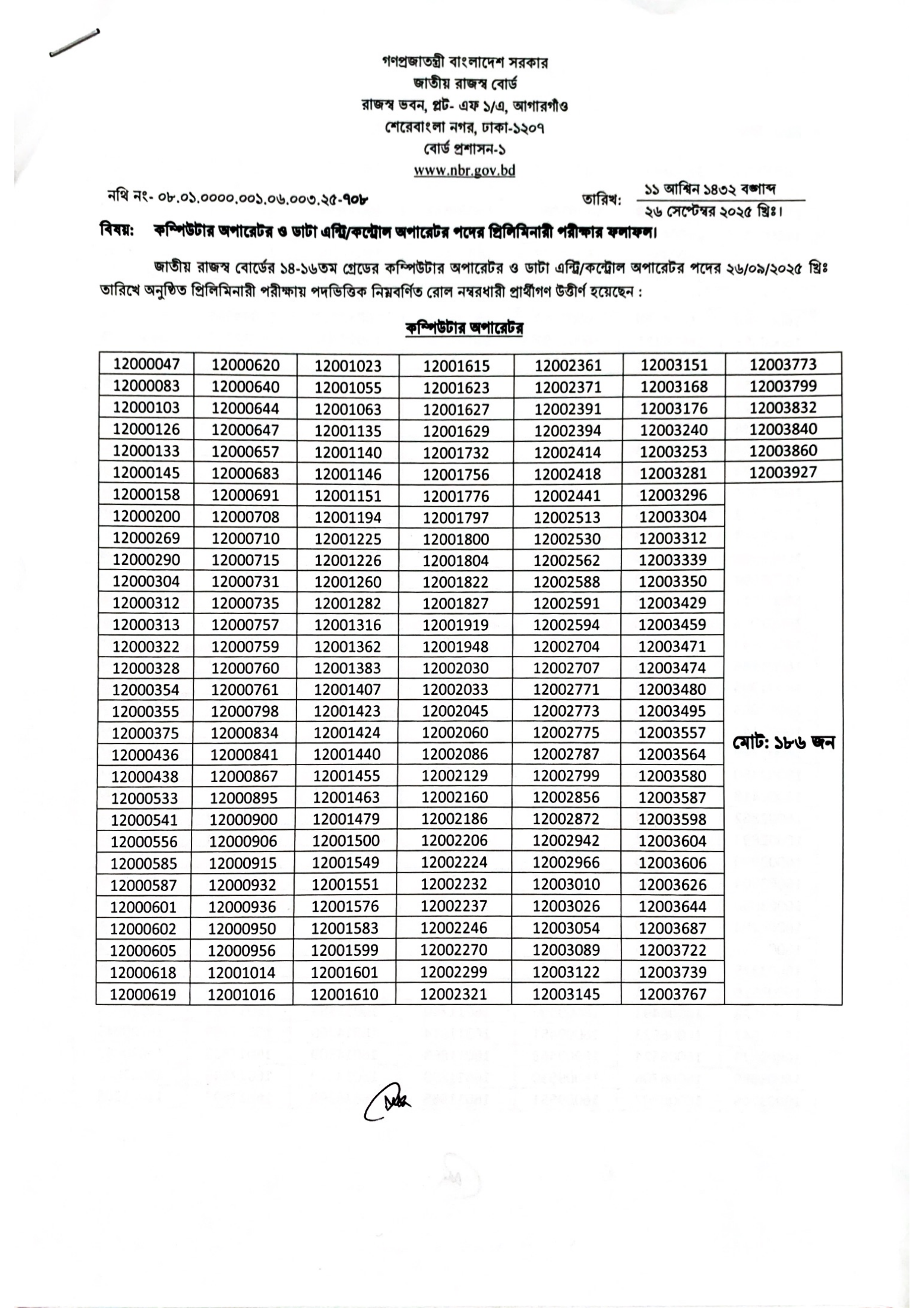
জাতীয় রাজস্ব বোর্ডের কম্পিউটার অপারেটর এবং ডাটা এন্ট্রি/কন্ট্রোল অপারেটর পদের ২৬ সেপ্টেম্বর ২০২৫ তারিখে অনুষ্ঠিত প্রিলিমিনারী পরীক্ষার ফলাফল প্রকাশিত হয়েছে।

উত্তীর্ণ প্রার্থীর সংখ্যা:

  • কম্পিউটার অপারেটর: ১৮৬ জন
  • ডাটা এন্ট্রি/কন্ট্রোল অপারেটর: ৩৪৫ জন

প্রিলিমিনারী পরীক্ষায় উত্তীর্ণ প্রার্থীদের লিখিত পরীক্ষা আগামী ১১ অক্টোবর ২০২৫, শনিবার বিকাল ৩:০০ টা হতে ৪:৩০ টায় অনুষ্ঠিত হবে।

পরীক্ষার স্থান: শেরেবাংলা নগর সরকারি বালিকা উচ্চ বিদ্যালয়, আগারগাঁও, ঢাকা।

গুরুত্বপূর্ণ নির্দেশনা:

  • লিখিত পরীক্ষার জন্য কোনো নতুন প্রবেশপত্র পাঠানো হবে না। প্রিলিমিনারী পরীক্ষার প্রবেশপত্র আবশ্যিকভাবে সঙ্গে আনতে হবে।
  • লিখিত পরীক্ষার সময় সকল প্রার্থীর ফিঙ্গারপ্রিন্ট এবং ছবি গ্রহণ করা হবে। ফিঙ্গারপ্রিন্ট প্রদানের জন্য পরীক্ষার কমপক্ষে ০১ (এক) ঘন্টা আগে কেন্দ্রে উপস্থিত থাকতে হবে।

বিস্তারিত ফলাফল জাতীয় রাজস্ব বোর্ডের নোটিশ বোর্ড ও ওয়েবসাইটে (nbr.gov.bd) পাওয়া যাবে।

বিস্তারিত নিচের বিজ্ঞপ্তিতে দেখুনঃ