সকল সরকারি চাকরির তথ্য সবার আগে মোবাইলে নোটিফিকেশন পেতে ডাউনলোড করুন
Android App: Jobs Exam Alert

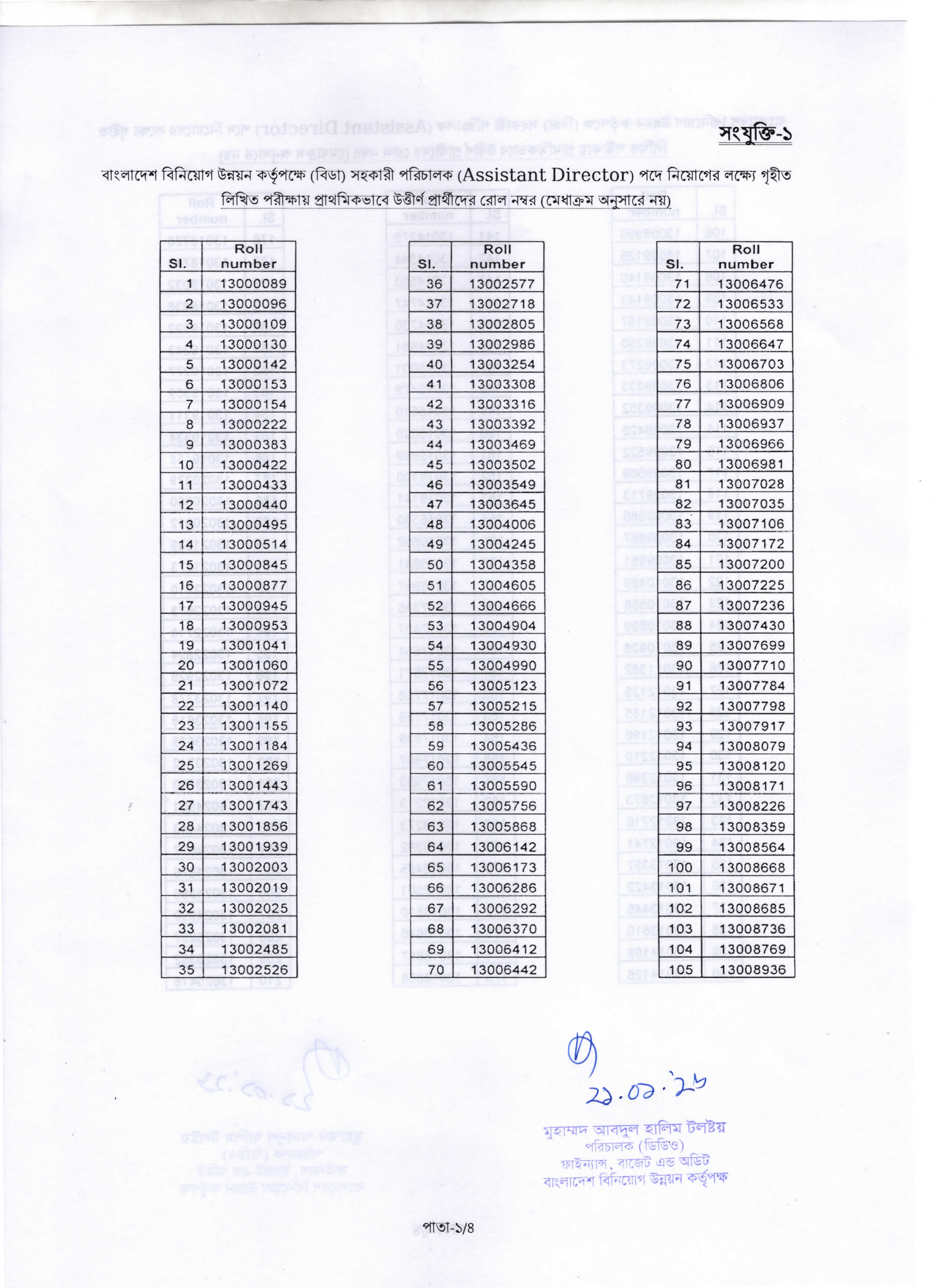
বাংলাদেশ বিনিয়োগ উন্নয়ন কর্তৃপক্ষ (বিডা) সহকারী পরিচালক পদের লিখিত পরীক্ষার ফলাফল এবং মৌখিক পরীক্ষার সময়সূচি প্রকাশ করেছে। গত ৩ জানুয়ারি ২০২৬ তারিখে অনুষ্ঠিত লিখিত পরীক্ষায় উত্তীর্ণ প্রার্থীদের তালিকা এবং পরবর্তী ধাপের মৌখিক পরীক্ষার নির্দেশনাবলী প্রদান করা হয়েছে।

পদের নাম: সহকারী পরিচালক (Assistant Director)

উত্তীর্ণ প্রার্থীর সংখ্যা: ৩৯১ জন

মৌখিক পরীক্ষার তারিখ: ২৬ জানুয়ারি ২০২৬ থেকে শুরু হয়ে ০২ ফেব্রুয়ারি ২০২৬ পর্যন্ত চলবে।

পরীক্ষার সময়: প্রতিদিন সকাল ০৯:৩০ টা এবং দুপুর ০২:০০ টা থেকে (নির্ধারিত সময়সূচি অনুযায়ী)।

পরীক্ষার স্থান: বাংলাদেশ বিনিয়োগ উন্নয়ন কর্তৃপক্ষের প্রধান কার্যালয় (বিনিয়োগ ভবন, প্লট নং: ই-৬/বি, আগারগাঁও, শের-ই-বাংলা নগর, ঢাকা -১২০৭)।

প্রয়োজনীয় কাগজপত্র: মৌখিক পরীক্ষার সময় প্রার্থীদের অনলাইন আবেদনপত্র, প্রবেশপত্র, শিক্ষাগত যোগ্যতার মূল সনদপত্র, নাগরিকত্ব সনদ, চারিত্রিক সনদ এবং জাতীয় পরিচয়পত্রসহ বিজ্ঞপ্তিতে উল্লিখিত সকল কাগজপত্রের মূল কপি এবং এক সেট সত্যায়িত ফটোকপি জমা দিতে হবে। কর্মরত প্রার্থীদের ক্ষেত্রে যথাযথ কর্তৃপক্ষের অনাপত্তি পত্র দাখিল করতে হবে।

বিস্তারিত নিচের বিজ্ঞপ্তিতে দেখুনঃ