সকল সরকারি চাকরির তথ্য সবার আগে মোবাইলে নোটিফিকেশন পেতে ডাউনলোড করুন
Android App: Jobs Exam Alert

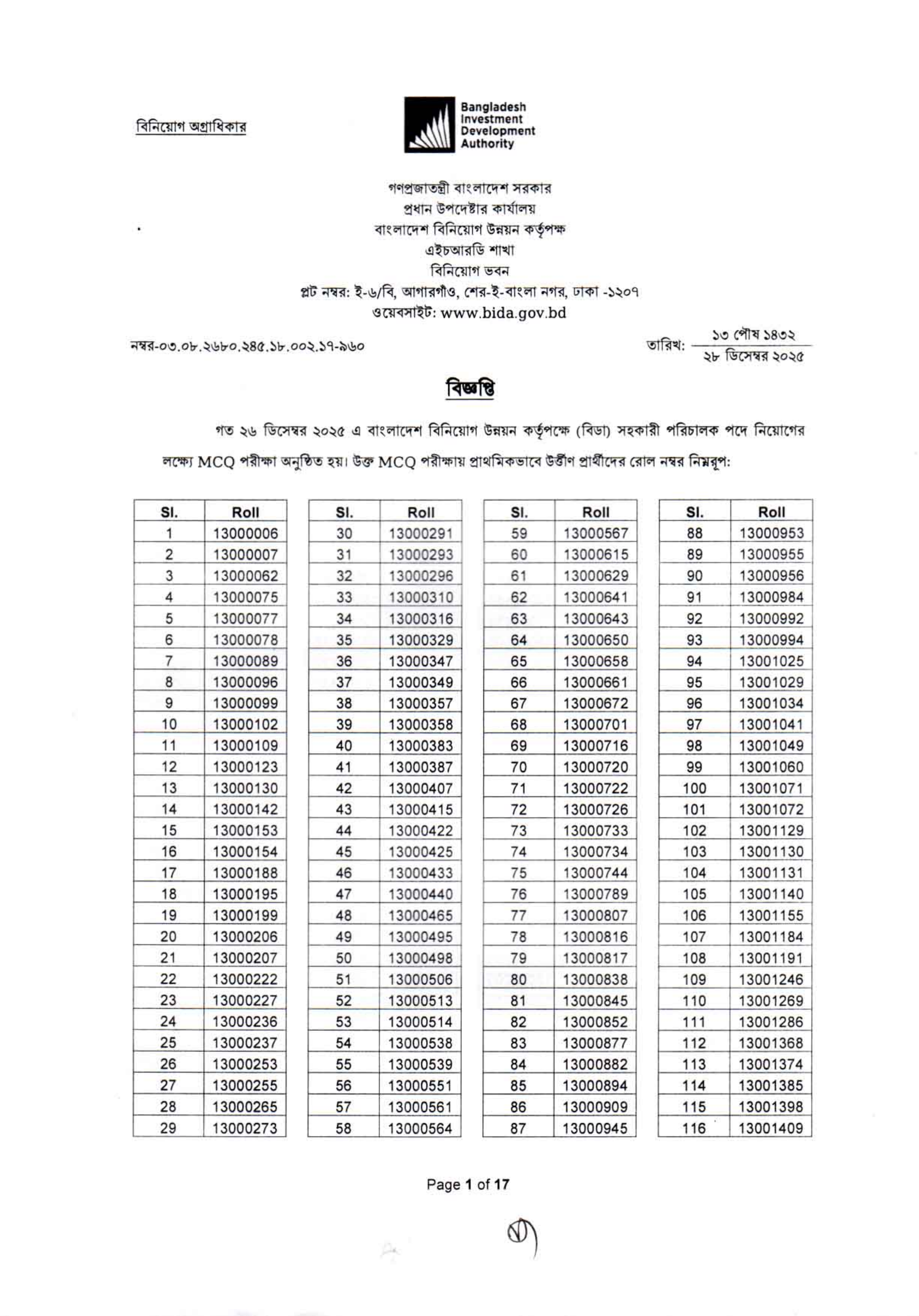
প্রধান উপদেষ্টার কার্যালয়ের অধীন বাংলাদেশ বিনিয়োগ উন্নয়ন কর্তৃপক্ষ (বিডা)-এর নিয়োগ পরীক্ষার ফলাফল এবং পরবর্তী লিখিত পরীক্ষার সময়সূচি সংক্রান্ত বিজ্ঞপ্তি প্রকাশিত হয়েছে।

বিবরণ:
গত ২৬ ডিসেম্বর ২০২৫ তারিখে অনুষ্ঠিত এমসিকিউ (MCQ) পরীক্ষার ফলাফল প্রকাশ করা হয়েছে। উক্ত পরীক্ষায় উত্তীর্ণ প্রার্থীদের পরবর্তী লিখিত পরীক্ষার সময়সূচি ঘোষণা করা হয়েছে।

লিখিত পরীক্ষার তথ্য:
পরীক্ষার তারিখ: ০৩ জানুয়ারি ২০২৬, শনিবার
সময়: বিকাল ২:৩০টা থেকে ৪:৩০টা পর্যন্ত
স্থান: টেলিটক বাংলাদেশ লিমিটেড হতে এসএমএস-এর মাধ্যমে পরীক্ষার কেন্দ্র অবহিত করা হবে।

প্রবেশপত্র সংক্রান্ত নির্দেশাবলী:
এমসিকিউ পরীক্ষার জন্য ইস্যুকৃত প্রবেশপত্রটিই পরবর্তী লিখিত পরীক্ষার জন্য কার্যকর হবে। প্রার্থীদের জন্য নতুন করে কোনো প্রবেশপত্র ইস্যু করা হবে না।

বিস্তারিত নিচের বিজ্ঞপ্তিতে দেখুনঃ