সকল সরকারি চাকরির তথ্য সবার আগে মোবাইলে নোটিফিকেশন পেতে ডাউনলোড করুন
Android App: Jobs Exam Alert

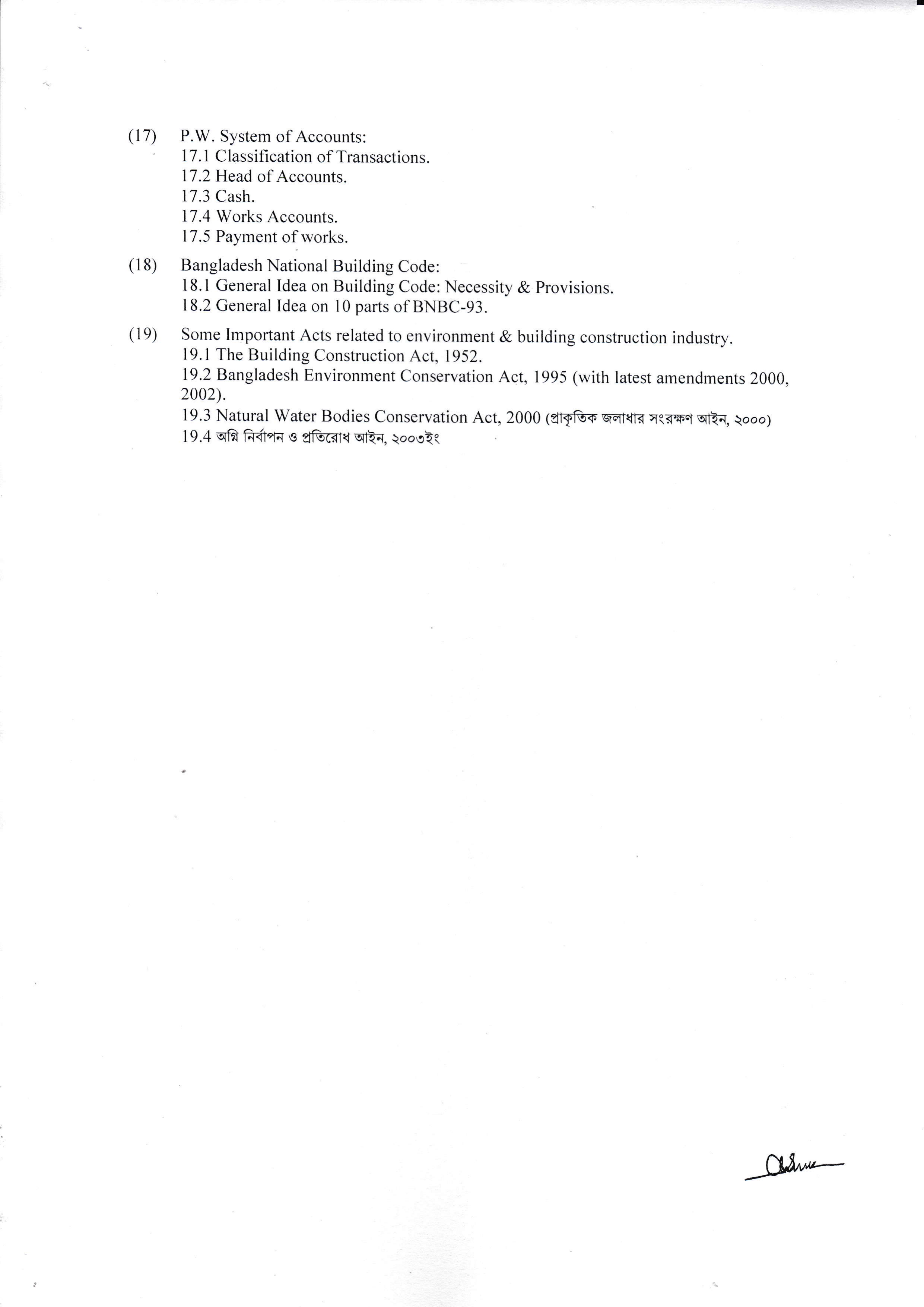
সামরিক ভূমি ও ক্যান্টনমেন্ট অধিদপ্তরের সরাসরি নিয়োগপ্রাপ্ত সহকারী প্রকৌশলী (সিভিল), সহকারী প্রোগ্রামার, সাব-ডিভিশনাল অফিসার (এসডিও), শিক্ষা কর্মকর্তা, আইন কর্মকর্তা ও উপসহকারী প্রকৌশলী (সিভিল) পদের কর্মকর্তা ও কর্মচারীদের চাকরি স্থায়ী করার নিমিত্ত বিভাগীয় পরীক্ষা ও প্রশিক্ষণ সংক্রান্ত গুরুত্বপূর্ণ সিদ্ধান্ত প্রকাশ করা হয়েছে।

নিয়োগ বিধিমালা-২০২০ এর ৬(৪) ধারা অনুসারে সরাসরি নিয়োগপ্রাপ্ত কর্মকর্তা/কর্মচারীগণের চাকরি স্থায়ী করার ক্ষেত্রে বিভাগীয় পরীক্ষা ও প্রশিক্ষণ গ্রহণ বাধ্যতামূলক। ০৭ অক্টোবর ২০২৫ তারিখে প্রতিরক্ষা মন্ত্রণালয়ে অনুষ্ঠিত এক সভায় নিম্নলিখিত সিদ্ধান্তসমূহ গৃহীত হয়:

  • পদের নাম: সহকারী প্রকৌশলী (সিভিল), সহকারী প্রোগ্রামার, সাব-ডিভিশনাল অফিসার (এসডিও), শিক্ষা কর্মকর্তা, আইন কর্মকর্তা ও উপসহকারী প্রকৌশলী (সিভিল) (৯ম ও ১০ম গ্রেডের কর্মকর্তা)।
  • বিভাগীয় পরীক্ষা: ০২টি পত্রে অনুষ্ঠিত হবে। প্রতিটি পত্রের পূর্ণমান ১০০ এবং পাস নম্বর ৫০।
  • পরীক্ষার সময়কাল: বিভাগীয় পরীক্ষা প্রতিবছর জুন ও ডিসেম্বর মাসে অনুষ্ঠিত হবে।
  • মৌলিক প্রশিক্ষণ: চাকরি স্থায়ীকরণের লক্ষ্যে ৯ম ও ১০ম গ্রেডের কর্মকর্তাগণকে বাধ্যতামূলকভাবে মৌলিক প্রশিক্ষণ গ্রহণ করতে হবে। এই প্রশিক্ষণ আঞ্চলিক লোক প্রশাসন প্রশিক্ষণ কেন্দ্র বা উপযুক্ত প্রশিক্ষণ প্রতিষ্ঠান কর্তৃক আয়োজিত হবে।
  • বিভাগীয় পরীক্ষা গ্রহণের জন্য একটি কমিটি গঠন করা হয়েছে, যা প্রশ্নপত্র প্রণয়ন, উত্তরপত্র মূল্যায়ন ও ফলাফল প্রকাশ করবে।

এই সিদ্ধান্তের বিস্তারিত তথ্য ও বিভাগীয় পরীক্ষার সিলেবাস সংশ্লিষ্ট কর্মকর্তাদের অবগতির জন্য প্রেরণ করা হয়েছে।

বিস্তারিত নিচের বিজ্ঞপ্তিতে দেখুনঃ